Институт
промышленной
экологии

Адрес:
620108, г. Екатеринбург,
ул. С. Ковалевской, 20
Тел.:
+7 (343) 374 37 71
E-mail:
iie@ecko.uran.ru
Статистика:
Top.Mail.Ru
Научные результаты
Основные научные достижения
 
2025 год
1) Получены данные, характеризующие современную радиоэкологическую ситуацию на территории Восточно-Уральского государственного заповедника, загрязненную в результате аварийных ситуаций на ПО «Маяк» в 1957–1967 г. (рис. 1а). Диапазон мощности амбиентного эквивалента дозы (МАЭД) – от 19 до 932 нЗв/ч (рис. 1б), удельной активности (УА) Cs-137 от 1,0 до 3460 Бк/кг (рис. 1в). Зависимость между УА Cs-137 и МАЭД описывается уравнением: УАCs-137 = e-1,376· МАЭД1,458 с коэффициентом детерминации R2=0,86. Данные о современном состоянии ВУГЗ будут использованы для обоснования изменения статуса данной территории.
Рис. 1а. Маршрут и результаты полевых измерений гамма-излучения на расстоянии 1 м над поверхностью (МАЭД, мкЗв/ч, более 47 тыс. значений)
2) Впервые выполнены экспериментальные исследования интенсивности и радионуклидного состава газоаэрозольных выбросов малого модульного реактора морского базирования. В обследованных источниках выброса радиоактивных веществ идентифицировано 11 радионуклидов. Установлено, что поступление этих веществ создает для населения г. Певек годовую дозу облучения не выше 0,03 мкЗв, что значительно ниже допустимой дозовой квоты для АЭС (50 мкЗв/год). Основными радионуклидами, формирующими более 95 % этой дозы, являются: 3Н, 14С, 41Ar (рис. 2). Для этих элементов в первые годы эксплуатации плавучей атомной теплоэлектростанции нормализованный выброс составил 2,72·10-1, 2,91·10-3, 1,53·10-2 ГБк/ГВт·ч соответственно. Полученные значения удельного выброса могут быть приняты за базовые для оценки соответствия принципам МАГАТЭ для всех последующих проектов малых модульных реакторов морского базирования.
Рис. 2. Вклад радионуклидов в выбросах ПАТЭС «Академик Ломоносов» в годовую эффективную дозу на население г. Певек
3) По результатам обследования накопления радона в современных многоэтажных зданиях повышенного класса энергоэффективности обнаружено снижение объемной активности радона с увеличением возраста здания (рис. 3). Снижение происходит вследствие роста проницаемости оболочки здания примерно в два-три раза за десять лет (рис. 4). Полученные результаты показывают необходимость совершенствования технологий строительства для обеспечения сохранения достигнутого уровня энергоэффективности новых зданий.
Рис. 3 Зависимость средней объемной активности радона от возраста здания в Екатеринбурге
Авторы: И. В. Ярмошенко, Г. П. Малиновский, А. Д. Онищенко, А. В. Васильев, М. В. Жуковский.
4) Разработан прогностический индекс ZLUNG для определения степени зрелости легочной ткани у недоношенных новорожденных (саккулярная или каналикулярная). На основе дискриминантного анализа из 50 биомедицинских показателей выбран комплекс наиболее информативных: Na+ в крови на 1-е сутки (ммоль/л) (А), гематокрит на 1-е сутки (%) (Б), плотность легочной ткани в латеральной точке 6-го межреберья (рентгенография) (В), уровень экспрессии цитокина TNF в пуповинной крови (пг/мл) (Г). Если ZLUNG<0, прогнозируется саккулярная степень; при ZLUNG>0 – каналикулярная (рис. 5). Чувствительность и специфичность предлагаемого способа определения степени зрелости легочной ткани составляет 100%. Методика внедрена для оптимизации терапевтической тактики. Разработано WEB-приложение для использования врачами-практиками.
Рис. 5. Результаты дискриминантного анализа и прогностическое правило для определения степени зрелости легких (по итогам успешности выбранного метода терапии).
Авторы: А. Н. Вараксин, Е. Д. Константинова, Т. А. Маслакова (ИПЭ УрО РАН), П. А. Кадочникова, Г. Н. Чистякова, И. И. Ремизова, Д. А. Абакарова (НИИ ОММ)
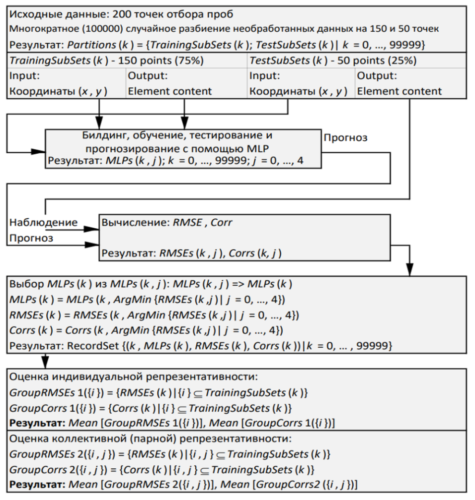
5) Предложен метод оценки индивидуальной и парной репрезентативности точек отбора проб в задаче интерполяции пространственного распределения примесей в верхнем слое почвы. Метод основан на построении условной (попадание в обучающее множество) плотности распределения относительных частот среднеквадратической ошибки (RMSE) и коэффициента корреляции (Corr) и ранжировании точек по статистикам, характеризующим распределения. Оценка парной репрезентативности позволяет выявить пары точек, для которых наблюдается синергетический эффект: увеличение точности прогнозирования на тестовом множестве при условии попадания в обучающее множество пары точек, проявляющих синергию. Предложенный метод представлен на рис. 6 в виде алгоритма, реализуемого инструментами машинного обучения. Метод может быть использован для построения эффективных сетей экологического мониторинга.
Рис. 6. Алгоритм оценки репрезентативности.
Авторы: А. П. Сергеев, А. В. Шичкин, Е. М. Баглаева, А. Г. Буевич, А. С. Буторова, И. Е. Субботина
6) Определены пространственно-временные вариации концентраций СО2 и СН4 в приземном слое атмосферы на основе данных реанализа CAMS и спутниковых измерений GOSAT на территории Уральского федерального округа (УрФО) за период 2010–2021 гг. (рис. 7). Для сравнения полученных данных с результатами измерений в опорных пунктах мониторинга разработан алгоритм приведения этих данных к соответствующим высотным уровням наземных измерений с оценкой неопределенности концентраций СО2 и СН4. Установлено, что неопределенность наземных измерений вносит основной вклад в суммарную неопределенность концентраций СО2 и СН4. Данные CAMS наиболее точно отражают результаты наземных измерений CO2, а GOSAT – измерения СН4. Выявлена область с высоким межгодовым приростом концентрации СО2 и СН4, достигающим 16 ppm и 90 ppb соответственно, в восточной и северо-восточной частях УрФО. Прирост, значительно превышающий средний глобальный темп, наблюдается в отдельные годы при температуре воздуха выше 15°С. Максимум внутригодовых вариаций по СО2 приходится на зимнее время, минимум на июль-август; по СН4 – наоборот. Полученные результаты важны для верификации модельных расчетов полей концентраций парниковых газов.
Рис. 7. Пространственное распределение средних значений концентрации СО2<.sub> (ppm) и СН4 (ppb) за период 2010–2021 гг. на территории УрФО по результатам реанализа CAMS и спутниковых измерений GOSAT (в скобках указаны значения суммарной неопределенности)
7) На основе архивных данных фотометрических наблюдений сети мониторинга AERONET на Среднем Урале предложена классификация ключевых типов аэрозольных частиц по спектральным значениям аэрозольной оптической толщи (АОТ) методом k-средних. В качестве начальных центров кластеров задавались спектральные значения коэффициентов ослабления излучения, рассчитанные с помощью пакета MOPSMAP по данным региональной аэрозольной модели MUrA и глобальной модели CALIPSO. Выделено пять типов аэрозолей: пыль, чистый континентальный (фоновый), загрязненный континентальный/дым, загрязненная пыль, высокие дымы. Анализ полученных за 2004-2021 гг. данных показал, что чистый континентальный аэрозоль и пыль наиболее распространены на территории Среднего Урала (26 и 25% наблюдений соответственно), а доля загрязненных континентальных/дымов составляет 20% (рис. 8). Предлагаемый подход позволяет оценить преобладающий тип аэрозоля в столбе атмосферы в пунктах мониторинга и существенно дополнить информацию, получаемую при выполнении спектральных наземных фотометрических измерений.
Рис. 8. Внутригодовое распределение типов аэрозоля по спектральным измерениям АОТ на Среднем Урале
Авторы: Е. С. Наговицына, А. П. Лужецкая, В. А. Поддубный.

Авторы: А. А. Екидин, К. Л. Антонов, Д. Д. Десятов, Е. И. Назаров, М. Д. Пышкина.

Рис. 1б. Распределение МАЭД в реперных точках (170 значений)
Рис. 1в. Распределение УА Cs-137 в реперных точках (170 значений)
Авторы: А. А. Екидин, Е. И. Назаров, М. Е. Васянович.
Рис. 4 Зависимость параметра kELA, характеризующего проницаемость оболочки здания, от возраста здания.
Авторы: С. К. Джолумбетов, Ю. И. Маркелов.